專題討論:手槍射擊表現與握力的關聯
- Authors

- Name
- 自我強化筆記
發佈日期:
最後更新:
握力對手槍射擊到底有多重要,在網路上可以找到各種説法。我相信學術期刊具有一定可信度,因此這篇文章會以論文為主,坊間意見為輔,來探討這個問題!
1. 研究簡介
這篇文章要介紹的,是2021年刊登在Applied Ergonomics期刊,由加拿大Carleton University的團隊發表的論文:Examining the impact of grip strength and officer gender on shooting performance。
在過去的研究裡,發現女性員警的射擊成績比男性員警低,而這樣的現象被歸因爲女性的握力普遍較低。這篇研究更進一步的用實驗數據去證實這項歸因(雖然還需要更多樣本來強化實驗的說服力)。這項歸因也意味著,只要女性透過訓練提升握力後,理論上射擊成績會和男性旗鼓相當。
這篇論文最後提出的結論,是執法單位應該將握力納入訓練裡,使員警具有「足夠」的握力,介於80125磅(3656公斤);或者在配給手槍時,選扳機拉力(trigger pull weight)輕一點(約6磅)的手槍,確保員警不論性別,都能在測試中取得85~90%的得分率。員警具有一定射擊表現,才能應對職務中需要開槍的場合。
附註:論文裡給出的握力範圍比較寬鬆,但我認為實務上標準最好再高一點。
2. 背景知識
目前標準配給的員警手槍,扳機拉力(trigger pull weight)大多介於46磅之間,這是常見striker-fired手槍的扳機拉力。但北美仍有一些警察單位繼續使用雙動式扳機,而且是DAO(double-action only)的手槍,這些手槍的扳機拉力大致在912磅之間。也因為是DAO,每一槍都需要手指提供比較重的拉力才能擊發。(不像DA/SA,開完雙動式的第一槍之後,就能使用單動式擊發,拉力會變輕。)
雖然扳機拉力重一點,通常可以減少意外擊發,但這也會對射擊表現產生負面影響。過去的研究發現,扳機拉力太重,會導致槍手為了扣下扳機,需要啟動額外的手部肌肉,這些額外被啟動的肌肉常常會使槍口產生不自主的搖晃,進而使射擊表現下降。
此外,具有更強的握力,也會讓我們更好的控制扣扳機的動態,讓手指移動更流暢。當手指碰到擊發前的阻力時,也不需要猛然增加力道才能突破,這也會減少開槍前槍口的搖晃程度。
握力和手槍射擊成果的關聯性,除了上述直接的因果,也包含一些間接的關聯性。說得直白一點,就是握力對手槍射擊有幫助,而且讓一個人握力更強的原因,也對手槍射擊有幫助。
擁有良好的握力,通常代表此人擁有結實穩定的肩膀,這對於持槍的穩定性,和吸收後座力(recoil)都是具有正面影響的。此外,握力較大的人,也常常是手掌更大、手指更長,擁有更容易發力的肢體結構。而手掌更大,手掌皮膚和握把就有更多接觸面積,會讓我們更好去控制手槍;手指更長,會讓握把在手裡更加牢固,這些都對手槍射擊有利。
3. 實驗設定
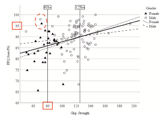
研究數據是來自86名男性、32名女性,平均年齡36歲,總共118名現役警員,在2015年收集的握力與警察手槍測試(police pistol qualification)成績。 這些警員使用的正是DAO手槍,扳機拉力大致在8~12磅之間。
數據中,男警的平均握力,是121.50磅,女警的平均握力,是77.5磅。性別之間存在顯著的握力差異。
而警察手槍測試內容分五階段,射擊的每一發最高可得5分,總計50發,滿分250分,需要得到200分(80%得分率)才算通過。遺憾的是,靶紙是什麼形狀、分數怎麼分佈,這點不得而知。
- 在84英尺的距離,站射7發、跪射5發、臥射2發。
- 在49英尺的距離、20秒內,站射4發、跪射4發。
- 在23英尺的距離,從射擊線道最右邊射2發,接著移到線道最左邊射2發,再到右邊射2發、左邊射2發。
- 在16英尺的距離,5秒內射擊軀幹2發、頭1發,重複四組。
- 在10英尺的距離、15秒內,只用慣用手射4發,只用輔助手再射4發。
4. 實驗結果
從整體實驗結果來觀察,可以發現不論男女,在後三個階段,約7碼以內的射擊表現其實都很不錯。主要是前兩個距離較遠的階段表現比較差,也是在這兩個階段,性別之間的射擊表現存在明顯差異。
既然在近距離都有很高的通過率,我們大致可以推論,員警們在基本射擊技術上並沒有問題,畢竟他們能夠在時限內、或移動後迅速完成瞄準並確實擊中目標。
造成前兩階段表現較差的原因,大致可以確定是槍口搖晃。只要是人在握槍,槍口搖晃就不可能完全消除,尤其是射擊距離變遠了,槍口搖晃造成的誤差會被急遽放大,相信這是任何有實彈射擊經驗的人,都親身體會過的事情。
從數據中會看到,平均握力較弱的女警,在遠距離射擊表現下降的程度,比男警更大。這樣的結果符合握力較弱,會造成更多槍口搖晃的這個推論。
研究團隊也發現,通過射擊測試的員警中(不分性別),得分率達到85%,需要的握力約是80磅;得分率達到90%,需要的握力約是125磅。
5. 反思
看完這篇論文後,先別急著得出「只有握力才是王道」的結論。回想一下,自己是不是在網路上或親眼看過有些人握力並沒有特別強,但是射的很準,甚至在射擊競賽裡非常活躍?
而且這篇論文的數據裡,就有兩起和理論完全相反的例外。各有一名男警和女警,他們的得分率超過95%,但兩人的最大握力都不滿80磅。確實,大部分取得超過95%得分率的警員,握力在125磅以上,但這告訴我們的是「握力強,通常射擊成績更好」,而不是「握力弱,就不可能取得好成績」。
為了說明例外狀況,以下是我的理論。
我認為,槍手因為握力不足,扣下扳機需要啟動額外肌肉的理論是正確的。但是額外被啟動的肌肉,不一定會使槍口產生搖晃。只要每一條肌肉都在控制之下,就不會產生「不自主」的動態。
當然手掌大小這些因素可能也有影響,但我認為關鍵是大量的練習,會讓大腦最終學會同時協調複數肌肉的控制,就算使用額外肌肉,槍口仍然可以保持不搖晃,進而把子彈打準。
當然,這非常仰賴槍手的協調性,不論是靠天賦或是後天努力獲得。也因此往往只有少數人能夠在這個條件下,依然取得優異的射擊成果。
另一方面,我想這篇論文也說明了為什麼射擊競賽者,通常會去改槍,把扳機拉力改輕。因為這確實會讓他們的競賽更具優勢。然而對於一般攜槍防身用槍,改槍的風險,是可能在拔槍時勾到衣物,造成意外擊發。要怎麼配合使用場合,去進行調整,將會是gun owner自己的責任。
最後的反思,是在運動領域中,人們往往會把力量和技術分成兩個不相干的項目來練,甚至也有不少人認為力量訓練會破壞技術。
上面那句話不一定錯,但手槍射擊就是力量和技術有重疊的的例子。槍手可以透過提升握力,減少需要操控的肌肉數量,進而降低大腦協調運動的困難度,讓槍口更容易保持穩定,最終在技術上得到提升。
6. 結語
整體而言,我對於手槍射擊要不要練握力的看法,傾向於要練。
雖然論文提出的標準是125磅,但我認為可以的話,要再練高一點。畢竟這個握力標準,是從射擊測試數據中計算出來的。人在真實狀況中的表現,絕對不會有在測試中那麼好,這樣才能確保我們在參加射擊競賽,甚至是碰到需要用槍進行防衛,會緊張、且射擊環境存在許多變數的時候,還是能夠確實地擊中目標。
然而,這也只是我對自己的要求。我相信有很多人就算不練握力,在真實狀況裡也可以把槍打的很準。
這就好像爬一座山,通往山頂的路線有很多條。這篇論文用數據、用理論,證實了其中一條路線是可行的。而我會偏好這一條路,也是因為在手槍射擊之外,我有其他會使用到握力的場合。
不走這條路線也沒關係,要攻上山頂,別的路線也會通,或許你就是走在另外一條路線上的朋友!最後與讀到文章結尾的讀者們共勉,希望大家都能持續變強!Happy training!
相關文章:
- DA/SA、DAO是什麼?雙動式扳機為什麼比單動式更重? 槍械知識:各式槍機(Action)種類介紹
- 握力也是提升「扳機控制」能力的一大關鍵! 扳機控制:如何減少擊發前的槍口搖晃?大量圖解讓你一次全看懂!
- 想練握力了?了解一下訓練方法! 握力訓練:使用Captains of Crush握力器的訓練方法